La percepción de los votantes sobre actos de corrupción, identidad partidista y el razonamiento motivado en México
Dado los escándalos de presunta corrupción que recientemente se han dado a conocer en diversos medios de comunicación —alrededor del caso Lozoya o, más recientemente, el caso del hermano del presidente López Obrador, mucho se ha comentado sobre la forma en que las élites políticas parecieran juzgar selectivamente dichos actos. En pocas palabras, si quienes cometen los actos de corrupción son de su partido, los políticos suelen subestimar la corrupción e incluso encontrar justificaciones legales de esos actos. Por el contrario, si actos muy parecidos son cometidos por el partido contrario, los políticos suelen condenarlos y exigen que sean juzgados legalmente. Este comportamiento en realidad no es exclusivo de los políticos, los votantes también suelen juzgar de manera diferente actos de naturaleza parecida, dependiendo si su candidato o partido preferido están involucrados. Este proceso es conocido en estudios de opinión pública como “razonamiento motivado” lo que implica que los votantes perciben y juzgan los eventos que suceden en el mundo político con un sesgo partidista.
En este artículo analizo el proceso por el cual los votantes procesan información sobre este tipo de actos. Como parte de mi investigación,1 levanté una encuesta original durante la elección presidencial de 2018 en México y analicé dos casos en que los votantes juzgaron dos hechos de manera selectiva dependiendo si su candidato/partido político preferido estaba involucrado: un acto de corrupción y una campaña que busca comprar el voto, los cuales analizo a continuación.

Ilustración: Guillermo Préstegui
“Razonamiento motivado” e identidad partidista
Razonamiento motivado2 es el proceso por el cual los individuos razonan con el objetivo de mantener o fortalecer sus opiniones como una reacción a mensajes que retan sus preferencias políticas. En otras palabras, cuando los votantes se encuentran con información contraria a su identidad partidista, procesan dicha información con el objetivo de llegar a una conclusión predefinida o incluso pueden moldear esa información para que sea consistente con sus lealtades partidistas.3 Este fenómeno ha sido estudiado en Estados Unidos para entender la forma en que los votantes y activistas republicanos rechazan datos factuales. Por ejemplo, la creencia que el Presidente Obama era musulmán4 y que no había nacido en EE. UU. o el rechazo al cambio climático5 a pesar del consenso científico en torno al calentamiento global como producto de la actividad humana. Otro tipo de estudios académicos también han evaluado la forma como los votantes actualizan sus opiniones respecto de la economía. Por ejemplo, muchos votantes republicanos antes de la toma de protesta de Donald Trump expresaban una evaluación bastante negativa sobre la economía estadounidense. Sin embargo, pocos días después del inicio de la presidencia trumpista, la percepción de los votantes republicanos mejoró exponencialmente a pesar de que el estado “objetivo” de la economía del país no había cambiado durante esos pocos días. En este caso, la identidad partidista es el motor que permite entender el cambio en la evaluación sobre la economía—dado que el nuevo gobierno comparte su identidad partidista—y a pesar de que el estado real de la economía no cambió durante ese periodo de tiempo.
Si bien en México no tenemos casos tan dramáticos, sí existen temas en los que los votantes parecieran ajustar sus opiniones para no contradecir sus lealtades partidistas. No es una lista exhaustiva, pero en la siguiente sección exploro dos de esos temas: la forma en que los votantes ajustan sus opiniones en torno a un escándalo de corrupción y una campaña que intenta comprar el voto.
Corrupción y “razonamiento motivado” entre los votantes en México
Con base en dos encuestas telefónicas realizadas durante la pasada campaña presidencial de 2018,6 en primer lugar, evalué la percepción sobre un acto de corrupción, un tema en que los votantes pueden potencialmente juzgar de manera diferente de acuerdo con la identidad partidista de los involucrados. A diferencia de otros estudios académicos que sugieren que los votantes pueden “perdonar” o “tolerar” la corrupción del candidato de su partido,7 mi estudio sugiere que, en realidad, los votantes no tienen nada que perdonar. Desde su perspectiva (partidista), su candidato en ningún momento cometió actos de corrupción, por lo tanto, no hay nada que tolerar. Los votantes, sobre todos los partidistas (copartisans, que tienen la misma identificación partidista que el candidato que comete un acto de corrupción), racionalizan sus creencias de una manera que los hace rechazar que los presuntos actos de corrupción puedan ser calificados como corrupción.
Para analizar este fenómeno, describí a los entrevistados el evento mejor conocido como los “videoescándalos”, en donde el protagonista fue René Bejarano, diputado de la entonces Asamblea Legislativa del DF y previamente secretario personal de Andrés Manuel López Obrador. A la mitad de la muestra le describí el escándalo sin mencionar sus nombres. Y a la otra mitad de la muestra le mencioné explícitamente el nombre de los protagonistas (lo que se conoce como un experimento por encuesta):
Versión 1 (SIN NOMBRES): Le voy a pedir que imagine a un político y a su secretario particular. El secretario particular salió en un video recibiendo millones de pesos en efectivo de manos de un empresario. En el video se ve al secretario particular metiendo los fajos de billetes en una maleta. Se dice que el empresario le da dinero para seguir ganando licitaciones para construir obras del gobierno y el dinero de la maleta servirá presuntamente para financiar la campaña electoral del político.
En una escala del 0 al 10, donde 0 significa que no es corrupción y 10 que sí es corrupción, ¿usted considera que es corrupción o no es corrupción las acciones descritas anteriormente?
Versión 2 (CON NOMBRES): Le voy a pedir que imagine a Andrés Manuel López Obrador y a su exsecretario particular, René Bejarano. René Bejarano salió en un video recibiendo millones de pesos en efectivo de manos de un empresario. En el video se ve a René Bejarano metiendo los fajos de billetes en una maleta. Se dice que el empresario le da dinero para seguir ganando licitaciones para construir obras del gobierno y el dinero de la maleta servirá presuntamente para financiar la campaña electoral de López Obrador.
En una escala del 0 al 10, donde 0 significa que no es corrupción y 10 que sí es corrupción, ¿usted considera que es corrupción o no es corrupción las acciones descritas anteriormente?
Consistente con la teoría de sesgo partidista y razonamiento motivado, los votantes lopezobradoristas juzgan de manera distinta el mismo acto cuando los nombres de los participantes no se mencionan—y es un escenario hipotético—que cuando se refiere explícitamente que Bejarano y López Obrador participaron en dichos actos. Cuando no se mencionan los nombres de los protagonistas, los votantes lopezobradoristas calificaron las acciones como corrupción (7.4 en la escala 0 a 10, ver Gráfica 1) pero cuando se les mencionaron explícitamente los nombres de René Bejarano y Andrés Manuel López Obrador negaron que el acto fuera corrupción (3.5); una diferencia sustantiva de casi 4 puntos en la escala 0 a 10. En el caso de los votantes panistas y priistas, en ambos escenarios calificaron el acto como corrupción (9.0 y 8.7).
Gráfica 1. Corrupción durante los videoescándalos
(Escala 0: no es corrupción – 10: Sí es corrupción)

Estos resultados reflejan la forma en que muchos votantes juzgan actos políticos y forman preferencias políticas: cuando un miembro de su “equipo” partidista participa en un acto de corrupción, los votantes suelen procesar la información con el objetivo de llegar a una conclusión particular: el acto que su candidato/partido preferido realizó no se puede calificar como corrupción. En este contexto, los votantes moldean la información para que sea consistente con sus lealtades partidistas. Esto habla del papel preponderante de la identidad partidista en el proceso de formación de opinión pública. Si bien diversos estudios de opinión pública argumentan que la identidad partidista ayuda a los votantes a entender los fenómenos políticos dado que simplifica la realidad política, también puede ocasionar que los votantes sean menos proclives a castigar a los políticos de su partido cuando cometen un acto de corrupción.
Como suele suceder en estos casos, una pregunta relevante es el efecto de los niveles de información de los votantes. Una hipótesis posible es que los votantes que recuerden este escándalo de corrupción—que sucedió hace más de 15 años—tendrían un comportamiento diferente comparado con aquellos votantes que no lo recuerdan, particularmente entre votantes lopezobradoristas. Por espacio no reporto los resultados en este artículo, pero encuentro que los niveles de información no influyen significativamente en las respuestas de los votantes lopezobradoristas; en otras palabras, los votantes lopezobradoristas juzgan de manera diferente estos escenarios (con nombres y sin nombres) independientemente de sus niveles de información.
Compra de voto y “razonamiento motivado” entre los votantes en México
Ahora bien, los votantes lopezobradoristas, como es de esperarse, no son los únicos que tienden a evaluar hechos políticos de manera diferente si su partido está involucrado. En la segunda encuesta, evalué un escándalo de compra de voto, un tema en el que los votantes también podrían tener un sesgo partidista. En este caso, elegí un tema que ha generado bastante polémica en los últimos procesos electorales: la entrega de tarjetas prometiendo un salario si el partido que las distribuye gana la elección. Mientras que los partidos que entregan estas tarjetas suelen afirmar que sólo constituye una promesa de política pública (formalmente no son tarjetas bancarias, aunque lo parezcan), los candidatos y los partidos contrarios suelen afirmar que es una forma de compra de voto (dado que las tarjetas son personalizadas y el nombre del beneficiario suele ingresarse en una lista partidista, lo que pareciera generar un intercambio de favores). De hecho, en esta polémica también han participado las instituciones electorales, sobre todo durante el proceso electoral de 2017 en el Estado de México: mientras que el INE consideró esta práctica como ilegal, el Tribunal Electoral le dio luz verde (aquí una nota al respecto).
En el caso de la elección presidencial de 2018, fue la campaña del PAN quien repartió una tarjeta (que parecía una tarjeta bancaria) que prometió que, de ganar Ricardo Anaya la presidencia, la gente recibiría un salario mensual de 1500 pesos, el llamado Ingreso Básico Universal. Como en la encuesta anterior, a una mitad de los entrevistados le informé que era el PAN quien repartía esas tarjetas, mientras que en la segunda mitad de la encuesta informé que era el PRI quien repartía las tarjetas (que en este caso no era el partido que repartía tarjetas, aunque lo ha sido en otros procesos electorales). El fraseo fue el siguiente.
Versión 1. En esta campaña presidencial, algunos medios de comunicación han informado que la campaña del PAN distribuyó tarjetas a muchos votantes. Estas tarjetas informan que, si gana el candidato del PAN el nuevo gobierno otorgará un salario mensual de 1,500 pesos a todas las personas…
Versión 2. En esta campaña presidencial, algunos medios de comunicación han informado que la campaña del PRI distribuyó tarjetas a muchos votantes. Estas tarjetas informan que, si gana el candidato del PRI el nuevo gobierno otorgará un salario mensual de 1,500 pesos a todas las personas…
Hay quien dice que la distribución de estas tarjetas a los votantes es compra de voto, mientras que otras personas dicen que sólo es una promesa de campaña. ¿Usted cree que distribuir este tipo de tarjetas es una forma de compra de voto? En una escala de 0 a 10, donde 0 significa que NO es compra de voto y 10 significa que sí es compra de voto, donde se ubicaría usted.
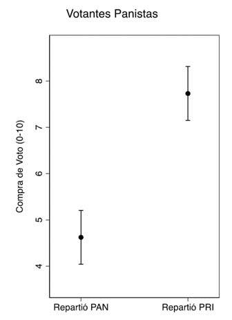
También en este tema los votantes razonaron con un sesgo partidista. Por ejemplo, cuando se les informó a los votantes panistas que fue el PAN quien distribuyó las tarjetas, los votantes panistas consideraron que no era compra de voto (4.6 en la escala 0 a 10). Sin embargo, cuando se les informó que fue el PRI quien distribuyó la tarjeta, el cambio es sustancial: los votantes panistas sí consideraron que es compra de voto (7.7). Algo bastante parecido sucede entre los votantes priistas a pesar de que no eran el objeto de estudio de esta pregunta. Cuando se les informa que fue el PRI quien distribuyó la tarjeta, los votantes priistas tienden a considerar que es menos compra de voto (5.4), que cuando se les informa que fue el PAN quien distribuyó las tarjetas a los votantes (7.7). En ese sentido, tal como en el caso de un acto de corrupción, pareciera que los votantes juzgan si una acción es compra de voto, no por la acción específica, sino por el partido que reparte las tarjetas a los votantes.
Gráfica 2. Reparto de tarjetas como compra de voto
(Escala 0: NO es compra de voto – 10: SÍ es compra de voto)

Este artículo constituye una primera aproximación para entender el proceso por el cual los individuos tienden a interpretar eventos políticos. Los votantes, así como las élites políticas, parecen juzgar dichos eventos, no por los detalles de cada evento—corrupción, clientelismo y potencialmente cualquier otro tema que polarice a la opinión pública. Por el contrario, los votantes suelen juzgar de manera diferente actos de naturaleza parecida, dependiendo si su candidato o partido preferido están involucrados.
Rodrigo Castro Cornejo
Doctor en Ciencia Política por la Universidad de Notre Dame (EEUU). Actualmente es Profesor-Investigador de la División de Estudios Políticos en el CIDE. Su investigación se centra en opinión pública, elecciones y comportamiento del votante.
1 El artículo académico completo se encontrará aquí.
2 Por ejemplo: Kunda, Ziva. 1990. “The case for motivated reasoning.” Psychological Bulletin 108(3): 480–498; Lodge, M., & Taber, C. S. (2000). “Three steps toward a theory of motivated political reasoning” en A. Lupia, M. D. McCubbins, & Samuel. L. Popkin (Eds.), Elements of reason: Understanding and expanding the limits of political rationality. London: Cambridge University Press.
3 Por ejemplo: Green, D., B. Palmquist and E. Schickler (2002), Partisan Hearts and Minds: Political Parties and the Social Identities of Voters, New Haven, CT, USA: Yale University Press.
4 Jardina, Ashley and Michael Traugott (2019). “The Genesis of the Birther Rumor: Partisanship, Racial Atttitudes, and Political Knowledge,” Journal of Race, Ethnicity, and Politics, 4(19): 60-80. Harmann Todd and Adam Newmark (2012) “Motivated Reasoning, Political Sophistication, and Associations between President Obama and Islam” PS: Political Science and Politics 45(3): 449-455, entre otros.
5 Hart PS and EC Nisbet (2012) “Boomerang Effects in Science Communication: How Motivated Reasoning and Identity Cues Amplify Opinion Polarization about Climate Mitigation Policies” Comunication Reserarch, 39(6): 701-723.
6 La primera encuesta tuvo una muestra de 1,000 entrevistados y se levantó en abril de 2018. La segunda encuesta tuvo una muestra de 800 entrevistados y se levantó en junio de 2018, la semana anterior a la elección presidencial. Para levantar las encuestas telefónicas se contrató a la firma encuestadora BGC Beltrán, Juárez y Asocs. Las muestras tienen una representatividad a nivel nacional de la población con teléfono en su vivienda.
7 Anduiza, E., Gallego, A., & Munoz, J. (2013). Turning a blind eye: Experimental evidence of partisan bias in attitudes toward corruption. Comparative Political Studies, 46, 1664-1692. Solaz, H., De Vries, C. E., & de Geus, R. A. (2018). In-Group Loyalty and the Punishment of Corruption. Comparative Political Studies.
Excelente artículo. Estoy de acuerdo con la tesis, añado, la opinión de las personas respecto de actos de campaña o gobierno cambia cuando reciben directamente un beneficio, o no.