El pasado 24 de abril se cumplieron quince años desde que se legalizó en la Ciudad de México el acceso al aborto electivo durante las primeras 12 semanas; esta entidad fue la primera en legalizar el aborto más allá de algunas causales limitadas que la ley preveía hasta ese momento. Este artículo estudia la opinión pública en torno al aborto después de más de una década del inicio de aquellas reformas legales. Específicamente, el texto contrasta diferentes teorías que ayudan a explicar el apoyo o rechazo al derecho al acceso al aborto: teorías basadas en niveles socioeconómicos o educación de las personas, en el género, actitudes políticas y religiosidad. Los datos de este artículo se basan en el Estudio Nacional Electoral de México (ENEM), encuesta postelectoral representativa a nivel nacional que es parte del Estudio Comparado sobre Sistemas Electorales (CSES, Comparative Study of Electoral Systems), realizado por el CIDE en México.

¿Quiénes apoyan el derecho al aborto?
El rechazo o apoyo al aborto no se explica por una única causal; la confluencia de factores socioeconómicos, religiosos y políticos moldean las actitudes de la opinión pública respecto al aborto como derecho y como práctica. Estos factores varían entre cada país e, incluso, dentro de ellos. En primer lugar, existen teorías que identifican a la religión como uno de los factores más importante en la formación de la opinión sobre el aborto, si no es que el más importante.1 Este factor se expresa a través de dimensiones como la afiliación religiosa y el nivel de religiosidad de las personas; por ejemplo, qué tan seguido reza o asiste a servicios religiosos.2 Aunque en algunas circunstancias quienes forman parte de una religión están abiertos a que el aborto sea legal,3 por lo general, quienes forman parte de una iglesia, particularmente el caso de la Iglesia católica y de las iglesias evangélicas, expresan más oposición. Ahora bien, también existen teorías que argumentan que no es la religión, sino el tipo de religiosidad lo que motiva el apoyo o rechazo al aborto. Esto es precisamente lo que refiere James Hunter en el libro Culture Wars: The Struggle to Define America,4 en tanto que los activistas más conservadores de distintas religiones se movilizan para oponerse al aborto mientras que los católicos, protestantes, judíos más progresistas se unen en favor de dichas reformas. En ese sentido, son las interpretaciones más conservadoras de cada religión quienes se oponen al derecho al aborto y no lo explica la religión por sí misma.
Consistentes con la teoría de la modernización, el nivel educativo y socioeconómico son también factores determinantes en la aprobación del aborto. A medida que se incrementan los años de educación y los niveles de prosperidad material, los individuos tienden a expresar más escepticismo hacia las tradiciones y, por el contrario, más apoyo a diferentes perspectivas del mundo, lo que los hace más propensos a apoyar el derecho a decidir de las mujeres.5 Asimismo, estos factores también influyen en la exposición de los individuos a noticias e información sobre el aborto; brindando así una perspectiva distinta a la tradicionalmente socializada.6
Ahora bien, el movimiento feminista ha llevado el debate sobre el aborto a la agenda política. En distintos países esto ha llevado a los partidos políticos e ideologías a alinearse con una postura específica.7 En consecuencia, las actitudes políticas de la opinión pública también representan otra explicación sobre la aprobación y desaprobación del aborto. Por ejemplo, en EUA, los votantes del Partido Republicano han expresado rechazo sistemático al aborto y distintos temas —como el matrimonio igualitario, los derechos civiles, la regulación de las armas, etc.— que forman parte de las llamadas guerras culturales8 en este país. En contraparte, el Partido Demócrata, principalmente sus facciones más progresistas, han formado parte de los grupos que se han movilizado en favor de dichos temas. En esas circunstancias, la identidad partidista se espera que sea un factor fuertemente asociada a las actitudes en torno al aborto. Igualmente, la ideología izquierda-derecha mantiene esta misma relación. Las personas con una orientación liberal tienden a estar a favor del aborto, mientras que las conservadoras lo rechazan.9
Dada la movilización feminista en favor de la despenalización y legalización del aborto, uno supondría que el género también representaría un factor importante para entender la aprobación y desaprobación del aborto. Sin embargo, según diversos estudios, esto no es así: las mujeres y los hombres tienen posturas bastante parecidas en torno al aborto.10 Esto se explica por la heterogeneidad11 en términos socioeconómicos y políticos entre las mujeres, lo que hace que un subconjunto de las mujeres —principalmente más a la derecha en el espectro ideológico o que simpatizan con partidos más conservadores, que pertenecen a una iglesia y que reportan altos niveles de religiosidad— rechacen el aborto. Mientras que las mujeres con ideología más progresista, con educación universitaria, con menos niveles de religiosidad —suelen reportar mayores niveles de aprobación del aborto.
Si bien en América Latina existe menor investigación sobre este tema, existen diversos estudios que han analizado a la opinión pública. Aunque la población en la región tiende a reportar actitudes poco favorables al aborto,12 la opinión pública suele expresar opiniones más liberales que las políticas que regulan el aborto en cada país.13 En otras palabras, la mayoría de los encuestados suele apoyar el aborto en más circunstancias que las permitidas por sus respectivos países, especialmente cuando se trata de casos de violación y riesgos a la salud.14
El aborto en México
La lucha por el derecho al aborto y a decidir sobre el propio cuerpo es de las demandas más antiguas del movimiento feminista mexicano, pero fue hasta la segunda ola feminista de los setenta que la demanda por su despenalización empezó a ganar tracción en la esfera pública. Si bien en las siguientes décadas se realizaron modificaciones a los códigos penales locales para ampliar las causales por las que el aborto no fuera punible, no fue hasta 2007 que se despenalizó en el entonces Distrito Federal. A partir de ese año, y por primera vez en México, el aborto fue permitido hasta las doce primeras semanas de gestación y quedaron exentas de sanción las interrupciones por razones de violación, malformaciones congénitas, genéticas o por grave riesgo a la salud de la mujer. Asimismo, se estableció la normatividad para garantizar el acceso al aborto en condiciones seguras.
No obstante, tras la despenalización del aborto en el Distrito Federal, inició un movimiento de contrarreformas —backlash— en contra de dichas reformas de corte progresista. Por ejemplo, en mayo de 2007, la Procuraduría General de la República y la Comisión Nacional de Derechos Humanos presentaron una acción de inconstitucionalidad bajo el argumento que el aborto violaba el derecho a la vida. Sin embargo, la Suprema Corte de Justicia de la Nación (SCJN) dictaminó que las reformas no eran inconstitucionales. En contrarrespuesta, la Iglesia católica, en alianza con grupos políticos conservadores, cabildearon y lograron la penalización del aborto en 18 estados del país.15 No obstante, en julio de 2021, la SCJN declaró inconstitucional el artículo 181 del Código Penal del Estado de Chiapas, el cual consideraba como delito abortar después de 90 días en caso de violación. Finalmente, en septiembre del año pasado, la SCJN dictaminó que penalizar el aborto en México es inconstitucional y que se debe garantizar a las personas gestantes su derecho a decidir sin enfrentar consecuencias penales.
Las reformas legales de corte progresista en el Distrito Federal también han tenido réplica en diversos estados del país. Por ejemplo, en 2019, Oaxaca aprobó el aborto por voluntad propia hasta la semana 12 de gestación, seguido por Hidalgo y Veracruz en 2021. El día de hoy, el aborto electivo está permitido en la Ciudad de México, Oaxaca, Hidalgo, Veracruz, Baja California, Sinaloa y Colima.
Encuesta Nacional Electoral de México (ENEM)
Los datos del presente análisis se basan en el Estudio Nacional Electoral de México (ENEM), encuesta postelectoral representativa a nivel nacional que es parte del Estudio Comparado sobre Sistemas Electorales (CSES, Comparative Study of Electoral Systems) y es realizado por el CIDE en México. La ENEM se realiza cada tres años y se levanta días después de las elecciones presidenciales o legislativas, según sea el año electoral. En esta edición, la ENEM 2021 se levantó una semana después de las elecciones intermedias de junio del año pasado.
En esta encuesta se incluyó una pregunta que busca medir las actitudes de la opinión pública respecto al aborto. Específicamente, la encuesta indagó el acuerdo o desacuerdo con aborto por medio del siguiente enunciado: “Se debe permitir a cualquier mujer abortar si ella así lo decide” (totalmente de acuerdo/acuerdo/ni acuerdo ni desacuerdo/desacuerdo/totalmente en desacuerdo). Para esta pregunta, resalta que el 40% de los entrevistados está totalmente acuerdo o de acuerdo con dicho enunciado (Gráfica 1), mientras que el 55% expresa desacuerdo. En otras palabras, una mayoría de la opinión pública en México tiende a expresar una posición conservadora en este tema.
Gráfica 1. Acuerdo/Desacuerdo con el Aborto
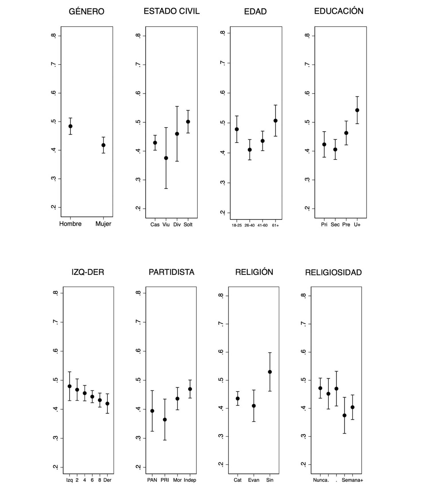
Para entender el perfil de los entrevistados que apoyan que las mujeres puedan abortar cuando así lo decidan, la Gráfica 2 reporta los resultados entre distintos grupos: según actitudes políticas, características sociodemográficas y religiosidad. En dicha gráfica, los resultados representados en el eje vertical de cada panel van de 0 a 1, donde 1 representa el máximo apoyo al aborto y 0 el máximo rechazo al aborto. Los “brazos” alrededor de cada punto corresponden a intervalos de confianza al 95%. Dichos resultados son producto de un modelo de regresión lineal.16
La gráfica 2 muestra que en México los factores socioeconómicos y la religión tienden a explicar más que las variables políticas las actitudes en torno al aborto. Consistente con la teoría de la modernización, las personas con mayor escolaridad tienden a aprobar más el aborto. En cuanto a la edad, las generaciones más jóvenes y quienes cuentan con mayor edad tienden a expresar más acuerdo. Es de destacar que, consistente con otros estudios, los hombres expresan algo más de acuerdo con el aborto que las mujeres. Igualmente, las personas sin afiliación religiosa y quienes menos asisten a celebraciones religiosas tienen mayor probabilidad de apoyar el derecho al aborto.
También es de llamar la atención que a diferencia de otros sistemas de partido, como en Estados Unidos, en que el tema del aborto divide al electorado por identidad partidista e ideología, en México, ninguna de estas variables políticas están asociadas al apoyo al aborto: ni la gente que se identifica con Morena, ni la gente que aprueba más al presidente (no se reporta en la gráfica), ni la gente que se autoidentifica como de izquierda aprueban más el aborto que quienes se identifican como panistas, priistas o independientes o quienes se autoidentifican como de derecha o desaprueban al presidente. Las diferencias no son estadísticamente significativas. Como refieren otros trabajos,17 esto seguramente es por la ambigüedad que diversos partidos políticos, sobre todo a nivel nacional— han tenido en estos temas y, más recientemente, la ambigüedad que el presidente Andrés Manuel López Obrador ha tenido en temas sociales-culturales —como el aborto o incluso el matrimonio igualitario. Dada la falta de señales explícitas de parte de las élites políticas al no politizar este tema, difícilmente se convierte un clivaje que divida al electorado en términos de la identidad partidista o de la aprobación presidencial. El hecho que los entrevistados de “izquierda” tampoco aprueben significativamente más el aborto que la gente de “derecha” sugiere que estos conceptos en el electorado mexicano tienen un significado más simbólico (symbolic ideology) y menos enraizado en políticas públicas (issue-based ideology) por lo que no hay una conexión entre la ideología y la aprobación/desaprobación del aborto.18
Gráfica 2. Acuerdo/Desacuerdo con el Aborto (según subgrupos)
(Escala en el eje vertical = 0: Desacuerdo – 1 Acuerdo)
Apoyo al aborto según distintos escenarios
Los resultados obtenidos de la Encuesta Nacional Electoral (ENEM) 2021 ilustran, a nivel general, las opiniones en torno al aborto basándose en una pregunta que indaga el acuerdo o desacuerdo con el aborto desde una perspectiva general, sin hacer explícito algún escenario en que las mujeres tengan que acceder al aborto. Ahora bien, como distintos estudios han argumentado, la forma como se pregunta el apoyo o rechazo al aborto es influido significativamente por la misma pregunta.19 Por ejemplo, si se indaga el apoyo al aborto como práctica en general, o se apoya su legalización, puede resultar en respuestas distintas. Asimismo, plantear distintos escenarios en los que una mujer puede abortar afecta significativamente las respuestas.
Para estudiar precisamente esa variación entre distintos escenarios en que se puede tomar la decisión de abortar, esta sección se basa en los datos recabados por una encuesta nacional telefónica realizada por la casa encuestadora BGC Beltrán y Asocs.,20 la cual fue levantada en septiembre de 2021, unos días después que la Suprema Corte de Justicia dictaminara que es inconstitucional penalizar el aborto en México. Esta encuesta estudia el acuerdo o desacuerdo con el aborto en distintos escenarios. En particular, 1) cuando el embarazo pone en riesgo la vida de la mujer, 2) cuando el embarazo se debe a una violación, 3) cuando el niño puede nacer con un defecto físico, 4) cuando el embarazo ocurrió porque falló el método anticonceptivo, 5) cuando el embarazo impide que la mujer siga con sus planes como estudiar o trabajar y 6) si la mujer así lo decide.
En general, la encuesta muestra que en situaciones extremas y en las que la decisión está fuera de las manos de la persona gestante, hay una mayor aprobación de la despenalización del aborto. En otras palabras, se reporta mayor aprobación al aborto en situaciones como embarazos por violación y riesgos a la vida de la persona gestante. Cuando la decisión de abortar se debe únicamente a la decisión de la persona embarazada o el embarazo es producto de una falla en el método anticonceptivo, la mayor parte de la población está en contra.
Gráfica 3. Aprobación del aborto en distintos escenarios
Al analizar los resultados de dicha encuesta,21 encontramos coincidencias con los hallazgos de la Encuesta Nacional Electoral de México 2021. Como se ve en la Tabla 1, las variables políticas como la identidad partidista y la aprobación presidencial no tienen incidencia en la opinión sobre el aborto en los distintos escenarios, lo que sugiere que los partidos y políticos no han movilizado la legalización del aborto entre sus votantes. En consecuencia, el aborto permanece más a la esfera social y no a la esfera política como en Estados Unidos y otros países. Tampoco el género, la edad y la religión tienen una asociación consistente respecto al aborto en los seis escenarios analizados.
En cuanto a la religión, los entrevistados evangélicos expresan más desacuerdo con el aborto, particularmente cuando se debe a la decisión de la persona gestante y cuando el embarazo fue provocado por una violación. Ahora bien, la religiosidad —medida por la frecuencia con la que se asiste a celebraciones religiosas— tiene un impacto mucho mayor en la aprobación del aborto. Consistentes con las teorías sobre las guerras culturales, los entrevistados con mayores niveles de religiosidad, independientemente de la religión, son quienes expresan mayor oposición al aborto. Estos resultados pueden tener diversas explicaciones. Por ejemplo, es posible que quienes más asisten a ceremonias religiosas tienen mayor probabilidad de recibir los mensajes de los líderes religiosos en contra del aborto, lo que los hace más propensos a rechazar el aborto. Otra posibilidad es que quienes asisten más a ceremonias religiosas son personas con un compromiso más fuerte con el contenido doctrinal de la iglesia a la que pertenece, lo que los hace más propensos a rechazar el aborto.
Adicionalmente, junto con la religiosidad, la educación es el factor que más influye en el rechazo o apoyo al aborto. Quienes tienen mayores niveles de educación, particularmente educación universitaria, expresan mayor apoyo al aborto en cada uno de los escenarios analizados, a excepción cuando el embarazo impide que la mujer siga con sus planes como estudiar o trabajar. La última columna de la Tabla 1 reporta el número de escenarios en que los entrevistados apoyan el acceso al aborto. De nueva cuenta, la educación y la religiosidad constituyen los factores más importantes: quienes cuentan con educación universitaria y menos religiosidad, apoyan significativamente más escenarios (3.8 de los 6 escenarios, en promedio) que el promedio de la opinión pública en México (2.8 escenarios).
Tabla 1. Aprobación del aborto según distintos escenarios
✔ = Factor que está asociado (estadísticamente significativo)
al apoyo al aborto en dichos escenarios
|
|
Por Violación |
Defecto Físico |
Riesgo la vida de la mujer |
Falló el método anticonceptivo |
Proyecto de Vida |
Decisión propia |
Suma de 6 escenarios |
|
Educación |
✔ |
✔ |
✔ |
✔ |
|
✔ |
✔ |
|
Religiosidad |
✔ |
✔ |
✔ |
✔ |
✔ |
✔ |
✔ |
|
Edad |
|
|
✔ |
✔ |
|
|
|
|
Religión |
✔ |
|
|
|
|
✔ |
|
|
Mujer |
|
|
|
|
|
|
|
|
Identificación partidista |
|
|
|
|
|
|
|
|
Aprobación presidencial |
|
|
|
|
|
|
|
Este artículo constituye una primera aproximación para entender las actitudes de la opinión pública en torno al aborto en México. Este estudio destaca la importancia de variables como la educación y la religiosidad para entender el perfil de la opinión pública en México que más aprueba o desaprueba el aborto de manera general y, en particular, en distintos escenarios. El análisis deja fuera el impacto de las relaciones familiares, el ingreso familiar, la diferencia entre las áreas rurales y urbanas, que seguramente tendrán una influencia en las actitudes de la opinión pública en México. Si bien estas variables están relacionadas con las variables más relevantes de este artículo, futuros estudios que incluyan dichas variables de estudio permitirían tener un análisis más completo para entender un tema que persiste dividiendo a la opinión pública, tanto en México como a nivel mundial.
Arantxa Ibarrola
Estudiante de la Licenciatura en Ciencia Política y Relaciones Internacionales en el CIDE.
Rodrigo Castro Cornejo
Profesor-Investigador Titular de la División de Estudios Políticos en el CIDE y coinvestigador principal del Estudio Nacional Electoral de México (ENEM).
1 Hout, M. “Abortion Politics in the United States, 1972-1994: From Single Issue to Ideology” Gender Issues 17, marzo 1999, pp. 3-34.; Adamczyk, A.; Chunrye, K.; y Dillon, L. “Examining Public Opinion about Abortion: A Mixed-Methods Systematic Review of Research over the Last 15 years*” Sociological Inquiry 90, núm. 4, noviembre 2020, pp. 920-954.; Petracci, M. “Capítulo 6: Opinión Pública y Aborto: La sociedad discute sobre el aborto en América Latina.” En Investigación sobre aborto en América Latina y El Caribe: una agenda renovada para informar políticas públicas e incidencia, compilado por Ramos, S. Ciudad Autónoma de Buenos Aires, Centro de Estudios de Estado y Sociedad-CEDES; Ciudad de México, Population Council; Lima, Promsex, 2015 pp. 129-152.
2 Jelen, T. G.; O’Donnell, J., y Wilcox, C. “A Contextual Analysis of Catholicism and Abortion Attitudes in Western Europe” Sociology of Religion 54, núm. 4, invierno 1993, pp. 375-383.
3 Petracci, M. “Capítulo 6: Opinión Pública y Aborto: La sociedad discute sobre el aborto en América Latina.” En Investigación sobre aborto en América Latina y El Caribe: una agenda renovada para informar políticas públicas e incidencia.
4 Hunter, J. Culture Wars: The Struggle to Define America. New York, Basic Books, 1991.
5 Adamczyk, A.; Kim, C. y Dillon, L. “Examining Public Opinion about Abortion: A Mixed-Methods Systematic Review of Research over the Last 15 years*”.
6 Dides, C., y otros. Estudio de opinión pública sobre aborto y derechos sexuales y reproductivos en Brasil, Chile, México y Nicaragua. Santiago, FLACSO-Chile, 2011.
7 Hout, M. “Abortion Politics in the United States”.
8 Hunter, J. ob. cit.
9 Dides, C., y otros. Estudio de opinión pública sobre aborto y derechos sexuales y reproductivos en Brasil, Chile, México y Nicaragua.
10 Hout, M. “Abortion Politics in the United States, 1972-1994: From Single Issue to Ideology”.
11 Cassese, E. C., y Barnes, T. D. “Reconciling sexism and women’s support for Republican candidates: A look at gender, class, and whiteness in the 2012 and 2016 presidential races”, Political Behavior 41.3, 2019, pp. 677-700.
12 Petracci, M. “Capítulo 6: Opinión Pública y Aborto: La sociedad discute sobre el aborto en América Latina”.
13 Yam, E. A., y otros. “Abortion Opinion Research in Latin America and the Caribbean: A review of the Literature” Studies in Family Planning 37, no. 4 (diciembre 2006), pp. 225-240.
14 Dides, C. y otros. Estudio de opinión pública sobre aborto y derechos sexuales y reproductivos.
15 Reuterswärd, C. “Pro-Life and Feminist Mobilization in the Struggle over Abortion in Mexico: Church Networks, Elite Alliances, and Partisan Context”, Latin American Politics and Society, 63(3), 2021, 21-45.
16 La gráfica 2 es producto de un análisis de regresión en el que se incluyeron las siguientes variables independientes: género, estado civil (casado, viudo, divorciado, soltero), educación, edad, identidad partidista, aprobación presidencial, ideología izquierda-derecha, religión y asistencia a la iglesia (religiosidad). Para facilitar la interpretación, los resultados que se reportan en el texto son producto de una regresión lineal OLS. Los resultados que se obtienen por medio de un modelo ordinal logístico son sustancialmente iguales.
17 Díaz Domínguez, A. “¿Votó la ciudadanía religiosa por AMLO en 2018? Un análisis empírico,” Política y gobierno, 27(2), 2020.
18 Ver Aparicio, F. J., y Cornejo, R. C. “Elecciones 2018. Una coyuntura histórica en México”, Política y gobierno, 27(2), 2020. Sánchez y Sánchez, C. L. “El clivaje redistributivo: ideología y desigualdad social” en Moreno, Uribe y Wals (eds.), El viraje electoral: Opinión pública y voto en las elecciones de 2018 en México, Ciudad de México: Centro de Estudios Sociales y de Opinión Pública/Cámara de Diputados, 2019.
19 Dides, C., y otros. Estudio de opinión pública sobre aborto y derechos sexuales y reproductivos.
20 Agradecemos a Ulises Beltrán que nos haya brindado el acceso a esta encuesta. La encuesta es representativa a nivel nacional.
21 El análisis de la tabla 1 es producto de un análisis de regresión lineal OLS en el que se incluyeron las siguientes variables independientes: género, educación, edad, identidad partidista, aprobación presidencial, religión y asistencia a la iglesia (religiosidad). Los resultados que se obtienen por medio de un modelo ordinal logístico son sustancialmente iguales.



Una propuesta: Hacer un estudio sobre qué piensan los médicos, en especial los Gineco-Obstetras, sobre el aborto. Finalmente estos colegas (mi especialidad es la Neonatologia) , son los encargados de realizar estas intervenciones